当前位置:首页建筑工程注册结构工程师结构专业考试一级->某回填土经夯实后取土样做试验,环刀的容积为200cm3,土重

某回填土经夯实后取土样做试验,环刀的容积为200cm3,土重为3.68N;从环刀内取出0.294N,烘干后测得干土重为0.252N。

1.土的干重度γd最接近于(  )kN/m3。

  • A.12.1
  • B.15.8
  • C.16.2
  • D.18.4
答案: B
本题解析:

土的天然重度为:

结构专业考试二级,章节练习,基础复习,基础知识

土的含水量为:

结构专业考试二级,章节练习,基础复习,基础知识

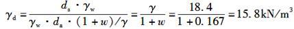
故土的干重度为:

结构专业考试二级,章节练习,基础复习,基础知识

由此可知,B项数值最为接近。

更新时间:2021-12-28 04:58
纠错

你可能感兴趣的试题

单选题

结构专业考试二级,押题密卷,2022年二级注册结构工程师《专业考试》押题密卷2

  • A.99
  • B.83
  • C.92
  • D.76
查看答案
单选题

结构专业考试二级,押题密卷,2022年二级注册结构工程师《专业考试》押题密卷1

  • A.156、71
  • B.249、7
  • C.216、7
  • D.203、1
查看答案
单选题

结构专业考试二级,押题密卷,2022年二级注册结构工程师《专业考试》押题密卷1

  • A.9<24
  • B.9<18
  • C.8、4<24
  • D.7、1<8
查看答案
单选题

结构专业考试二级,模拟考试,2022年二级注册结构工程师《专业考试》模拟试卷4

  • A.99
  • B.83
  • C.92
  • D.76
查看答案
单选题

结构专业考试二级,模拟考试,2022年二级注册结构工程师《专业考试》模拟试卷3

  • A.4、89
  • B.6、22
  • C.7、94
  • D.10、09
查看答案
单选题

结构专业考试二级,模拟考试,2022年二级注册结构工程师《专业考试》模拟试卷3

  • A.156、71
  • B.249、7
  • C.216、7
  • D.203、1
查看答案
单选题

结构专业考试二级,模拟考试,2022年二级注册结构工程师《专业考试》模拟试卷2

  • A.1、0,8、8
  • B.1、0,10
  • C.1、25,10
  • D.1、0,7、2
查看答案
单选题

结构专业考试二级,模拟考试,2022年二级注册结构工程师《专业考试》模拟试卷2

  • A.10、5
  • B.12、0
  • C.13、0
  • D.14、0
查看答案
单选题

结构专业考试二级,模拟考试,2022年二级注册结构工程师《专业考试》模拟试卷1

  • A.9<24
  • B.9<18
  • C.8、4<24
  • D.7、1<8
查看答案
单选题

结构专业考试二级,点睛提分卷,2022年二级注册结构工程师《专业考试》点睛提分卷5

结构专业考试二级,点睛提分卷,2022年二级注册结构工程师《专业考试》点睛提分卷5

  • A.176.8
  • B.198.8
  • C.206.8
  • D.212.3
查看答案