当前位置:首页 → 建筑工程 → 注册土木工程师(水利水电) → 基础知识->

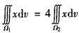
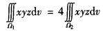
利用积分区域的对称性及被积函数的奇偶性。









