当前位置:首页建筑工程注册土木工程师(水利水电)基础知识->

基础知识,真题专项训练,工程科学基础

  • A.基础知识,真题专项训练,工程科学基础
  • B.基础知识,真题专项训练,工程科学基础
  • C.基础知识,真题专项训练,工程科学基础
  • D.基础知识,真题专项训练,工程科学基础
答案: C
本题解析:

基础知识,真题专项训练,工程科学基础

更新时间:2022-01-03 05:05
纠错

你可能感兴趣的试题

单选题

专业案例,模拟考试,水利水电专业案例模拟试卷6

  • A.3
  • B.4
  • C.5
  • D.6
查看答案
单选题

专业案例,模拟考试,水利水电专业案例模拟试卷6

  • A.180
  • B.185
  • C.190
  • D.195
查看答案
单选题

专业案例,模拟考试,水利水电专业案例模拟试卷6

  • A.2.00
  • B.2.25
  • C.2.5
  • D.3.00
查看答案
单选题

专业案例,模拟考试,水利水电专业案例模拟试卷6

  • A.10%
  • B.15%
  • C.20%
  • D.30%
查看答案
单选题

专业案例,模拟考试,水利水电专业案例模拟试卷6

  • A.Ⅴ度
  • B.Ⅵ度
  • C.Ⅶ度
  • D.Ⅷ度
查看答案
单选题

专业案例,模拟考试,水利水电专业案例模拟试卷6

  • A.非活动性断层
  • B.活动性断层
  • C.结合其他资料才能判定
  • D.不能判定
查看答案
单选题

专业案例,模拟考试,水利水电专业案例模拟试卷6

  • A.岩石单轴抗压试验
  • B.岩石三轴抗压试验
  • C.岩石直剪试验
  • D.岩石三轴抗剪试验
查看答案
单选题

专业案例,模拟考试,水利水电专业案例模拟试卷6

  • A.逐渐减小
  • B.逐渐增大
  • C.不会变化,大小一样
  • D.变化无规律
查看答案
单选题

专业案例,模拟考试,水利水电专业案例模拟试卷6

  • A.0.43、0.73
  • B.0.25、0.46
  • C.0.37、0.69
  • D.0.51、0.85
查看答案
单选题

专业案例,模拟考试,水利水电专业案例模拟试卷6

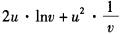
  • A.<img src='http://tp.mxqe.com/data/739/13592774_0_1.jpg' alt='专业案例,模拟考试,水利水电专业案例模拟试卷6' title='专业案例,模拟考试,水利水电专业案例模拟试卷6'>
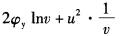
  • B.<img src='http://tp.mxqe.com/data/739/13592774_0_2.jpg' alt='专业案例,模拟考试,水利水电专业案例模拟试卷6' title='专业案例,模拟考试,水利水电专业案例模拟试卷6'>
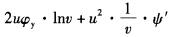
  • C.<img src='http://tp.mxqe.com/data/739/13592774_0_3.jpg' alt='专业案例,模拟考试,水利水电专业案例模拟试卷6' title='专业案例,模拟考试,水利水电专业案例模拟试卷6'>
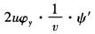
  • D.<img src='http://tp.mxqe.com/data/739/13592774_0_4.jpg' alt='专业案例,模拟考试,水利水电专业案例模拟试卷6' title='专业案例,模拟考试,水利水电专业案例模拟试卷6'>
查看答案