当前位置:首页建筑工程一级造价师建设工程造价管理->若已知设备目前实际价值、预计残值、基准年使用费、年劣化增量(

若已知设备目前实际价值、预计残值、基准年使用费、年劣化增量(每年相等),则在静态模式下,计算设备经济寿命时不需要考虑的参数是()。

  • A.目前实际价值
  • B.预计残值
  • C.基准年使用费
  • D.年劣化增量
查看答案 纠错
答案: C
本题解析:

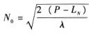
静态模式下设备经济寿命的确定方法,就是在不考虑资金时间价值的基础上计算设备年平均成本。经济寿命的计算公式为:,式中,P表示实际价值,LN表示预计残值,λ表示年劣化值。

更新时间:2021-08-05 17:51

你可能感兴趣的试题

多选题

建设工程项目采用Partnering模式的特点有( )。

  • A.Partnering 协议是工程建设参与各方共同签署的协议
  • B.Partnering 协议是工程合同文件的组成部分
  • C.Partnering 模式需要工程建设参与各方高层管理者的参与
  • D.Partnering 模式强调资源共享和风险分担
  • E.Partnering 模式可以独立于其他承包模式而存在
查看答案
单选题

下列工程中,属于分部工程的是( )

  • A.既有工厂的车间扩建工程
  • B.工业车间的设备安装工程
  • C.房屋建筑的装饰装修工程
  • D.基础工程中的土方开挖工程
查看答案
单选题

根据《招标投标法实施条例》,依法必须进行招标的项目可以不进行招标的情形是()。

  • A.受自然环境限制只有少量潜在投标人
  • B.需要采用不可替代的专利或者专有技术
  • C.招标费用占项目合同金额的比例过大
  • D.因技术复杂只有少量潜在投标人
查看答案
单选题

根据《工程造价咨询企业管理办法》,工程造价咨询企业可被处1万元以上3万元以下罚款的情形是( )。

  • A.跨地区承接业务不备案的
  • B.出租、出借资质证书的
  • C.设立分支机构未备案的
  • D.提供虚假材料申请资质的
查看答案
单选题

下列项目开工建设准备工作中,在办理工程质量监督手续之后才能进行的工作是()。

  • A.办理施工许可证
  • B.编制施工组织设计
  • C.编制监理规划
  • D.审查施工图设计文件
查看答案
单选题

根据《建筑法》,获取施工许可证后因故不能按期开工的,建设单位应当申请延期,延期的规定是( )。

  • A.以两次为限,每次不超过2个月
  • B.以三次为限,每次不超过2个月
  • C.以两次为限,每次不超过3个月
  • D.以三次为限,每次不超过3个月
查看答案
单选题

判断合同是否成立的依据是( )。

  • A.合同是否生效
  • B.合同是否产生法律约束力
  • C.要约是否生效
  • D.承诺是否生效
查看答案
单选题

关于《国务院关于投资体制改革的决定》,特别重大的政府投资项目应实行( )制度。

  • A.网上公示
  • B.咨询论证
  • C.专家评议
  • D.民众听证
查看答案
多选题

根据《价格法》,政府可依据有关商品或者服务的社会平均成本和市场供求状况、国民经济与社会发展要求以及社会承受能力,实行合理的( )。

  • A.购销差价
  • B.批零差价
  • C.利税差价
  • D.地区差价
  • E.季节差价
查看答案
单选题

根据我国《价格法》,制定关系群众切身利益的公用事业价格、公益性服务价格、自然垄断经营的商品价格时,应当建立( )制度。

  • A.听证会
  • B.公示
  • C.专家审议
  • D.人民代表评议
查看答案