当前位置:首页 → 建筑工程 → 公用设备工程师 → 专业基础知识(给排水)->水力最优矩形断面的底宽b为水深h的多少倍?( )
水力最优矩形断面的底宽b为水深h的多少倍?( )
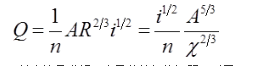
当过流断面面积A、粗糙系数n及渠道底坡i一定时,使流量Q达到最大值的断面称为水力最优断面。由式

可知,即湿周χ最小时,渠道断面最优,在计算上,其实就是求解一个函数的极值问题。对于不同形状(如矩形、圆形、梯形)断面的渠道,过流断面面积A的相关计算不同。如矩形断面宽深比为2时,水力最优;水力最优梯形断面的水力半径为水深的一半,即R=h/2。但是。水力最优不一定经济最优。









