当前位置:首页 → 建筑工程 → 公用设备工程师 → 专业基础知识(给排水)->实际水泵与模型水泵的尺寸相差不大,其工况相似时,第一相似定律
实际水泵与模型水泵的尺寸相差不大,其工况相似时,第一相似定律表示为( )

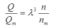
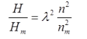
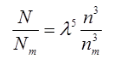
泵叶轮的相似定律是基于几何相似和运动相似的基础上的,凡是两台泵能满足几何相似和运动相似的条件,称为工况相似泵。叶轮相似定律有三个方面:
①第一相似定律,确定两台在相似工况下运行泵的流量之间的关系,公式为:

②第二相似定律,确定两台在相似工况下运行泵的扬程之间的关系,公式为:

③第三相似定律,确定两台在相似工况下运行泵的轴功率之间的关系,公式为:










