当前位置:首页 → 建筑工程 → 公用设备工程师 → 专业基础知识(暖通空调+动力)->对于题13图中的二维稳态导热问题,右边界是恒定热流边界条件,
对于题13图中的二维稳态导热问题,右边界是恒定热流边界条件,热流密度为qw,若采用有限差分法求解,当Δx=Δy时,则在下面的边界节点方程式中正确的是( )。

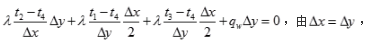
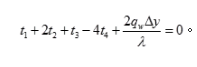
边界节点离散方程在第一类边界条件下,因边界节点的温度已给定,无需建立边界节点的方程,其温度值会进入到与之相邻的内节点方程中。对于第二及第三类边界条件,则必须建立边界节点的节点方程,从而使整个节点方程组封闭,利于求解。则根据题13图列节点4的热平衡方程:

整理上式得










