当前位置:首页 → 建筑工程 → 公用设备工程师 → 专业基础知识(暖通空调+动力)->7-7水蒸气的干度为x:从水蒸气表中查得饱和水的焓为危h′,
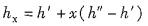
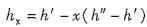
7-7水蒸气的干度为x:从水蒸气表中查得饱和水的焓为危h′,湿饱和蒸汽的焓为h″,计算湿蒸汽焓的表达式是( )。
湿蒸汽是干饱和蒸汽与饱和液的混合物。湿蒸汽千度为x,则每千克质量的湿蒸汽中应有xkg的干饱和蒸汽和(1-x)kg的饱和液。其中h″为干饱和蒸汽焓,h′为饱和水的焓。









