当前位置:首页 → 建筑工程 → 公用设备工程师 → 专业基础知识(暖通空调+动力)->可逆压缩时压气机的耗功为()。
可逆压缩时压气机的耗功为( )。
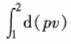
可逆压缩时压气机的功耗,即为轴功,在不计宏观位能和动能变化时就等于技术功-∫vdp。









