当前位置:首页 → 职业资格 → 基金从业资格证 → 证券投资基金基础知识->(2018年真题)计算债券当期收益率与到期收益率都需要用到的
(2018年真题)计算债券当期收益率与到期收益率都需要用到的因子是( )。
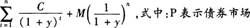
当期收益率的计算公式为:I=C/P,式中:I表示当期收益率;C表示年息票利息;P表示债券市场价格。到期收益率计算公式为:P=

价格;C表示每期支付的利息;n表示时期数;M表示债券面值。
基金的内部收益率又分为内部收益率(GIRR)合净内部收益率(NIRR),二者相比( )。
企业上市申报审核阶段的相关工作描述错误的是( )。
以下关于我国股权投资基金的募集方式和投向描述正确的是( )。
对于股权投资基金的信息披露,下列做法符合《私募投资基金信息披露管理办法》规定的是( )。
关于股权投资基金的基本运作流程,说法错误的是( )。
股权投资协议中,关于排他性条款错误的是( )
关于估值方法中的清算价值法,下列表述错误的是( )。
关于基金财产保管机构,说法正确的是( )。
下列关于股权投资基金政府管理主体职责的描述,错误的是( )。
基金管理人应通过授权控制来控制业务活动的运作,授权控制应当贯穿于管理人经营活动的始终,下列关于授权控制主要内容的表述错误的是( )。