当前位置:首页 → 职业资格 → 基金从业资格证 → 证券投资基金基础知识->某基金的贝塔值为1.2,收益率为15%,市场组合的收益率为1
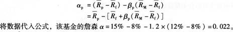
某基金的贝塔值为1.2,收益率为15%,市场组合的收益率为12%,无风险利率8%,其詹森a为( )。
詹森a衡量的是基金组合收益中超过CAPM模型预测值的那一部分超额收益。
用公式表示为:

基金的内部收益率又分为内部收益率(GIRR)合净内部收益率(NIRR),二者相比( )。
企业上市申报审核阶段的相关工作描述错误的是( )。
以下关于我国股权投资基金的募集方式和投向描述正确的是( )。
对于股权投资基金的信息披露,下列做法符合《私募投资基金信息披露管理办法》规定的是( )。
关于股权投资基金的基本运作流程,说法错误的是( )。
股权投资协议中,关于排他性条款错误的是( )
关于估值方法中的清算价值法,下列表述错误的是( )。
关于基金财产保管机构,说法正确的是( )。
下列关于股权投资基金政府管理主体职责的描述,错误的是( )。
基金管理人应通过授权控制来控制业务活动的运作,授权控制应当贯穿于管理人经营活动的始终,下列关于授权控制主要内容的表述错误的是( )。