当前位置:首页 → 职业资格 → 银行招聘 → 银行招聘职业能力测验->今年某高校数学系毕业生为60名,其中70%是男生,男生中有选
今年某高校数学系毕业生为60名,其中70%是男生,男生中有 选择继续攻读硕士学位。女生选择攻读硕士学位的人数比例是男生选择攻读硕士学位人数比例的一半。那么该系选择攻读硕士学位的毕业生共有( )。
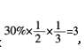
男生选择攻读硕士的有60x70%x_1=14人,女生选择攻读硕士的有60x

共计14+3=17人。
下列关于公司的表述,正确的是()
以下各项列举了我国常见气象灾害与其发生地区的对应关系,其中正确的一项是()
根据电视收视率调査,看体育节目的观众中青年人比中老年人要多。
由此可推断出()
—种海洋蜗牛产生的毒素含有多种蛋白,把其中的一种给老鼠注射后,会使有两星期大或更小的老鼠陷入睡眠状态,而使大一点的老鼠躲藏起来。当老鼠受到突然的严重威胁时,非常小的那些老鼠的反应是呆住,而较大的那些老鼠会逃跑。
以上陈述的事实最有力地支持了以下哪项假说?()










疾病控制中心对某校髙中三个年级的学生进行抽样做视力状况调查,抽样的方法为分层抽样(按比例抽样),若高中一、二、三年级学生人数分别为626、703、780,样本容量为84,则应从离二年级抽样的学生人数为多少?()