当前位置:首页 → 职业资格 → 银行招聘 → 银行招聘职业能力测验->据抽样调查,上海市城市居民家庭人均可支配收入构成情况及部分城
据抽样调查,上海市城市居民家庭人均可支配收入构成情况及部分城市城镇居民家庭人均可支配收入增长情况如表4、图1所示:
表4 2014年第一季度上海市城市居民家庭人均可支配收入增长情况


图1 2014年第一季度部分城市城镇居民家庭人均可支配收入增长情况
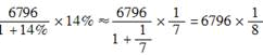
2014年第一季度与上年同期相比,上述八个城市中城镇居民家庭人均可支配收入增长量低于全国城镇居民家庭人均可支配收入增长量的城市有( )个。
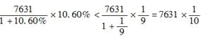
全国城镇居民家庭人均可支配收入增长量为
=84X(元),天津市城镇居民家庭人均可支配收入增长量为
=763.1(元),符合题意,其他城市均高于全国水平。
下列关于公司的表述,正确的是()
以下各项列举了我国常见气象灾害与其发生地区的对应关系,其中正确的一项是()
根据电视收视率调査,看体育节目的观众中青年人比中老年人要多。
由此可推断出()
—种海洋蜗牛产生的毒素含有多种蛋白,把其中的一种给老鼠注射后,会使有两星期大或更小的老鼠陷入睡眠状态,而使大一点的老鼠躲藏起来。当老鼠受到突然的严重威胁时,非常小的那些老鼠的反应是呆住,而较大的那些老鼠会逃跑。
以上陈述的事实最有力地支持了以下哪项假说?()










疾病控制中心对某校髙中三个年级的学生进行抽样做视力状况调查,抽样的方法为分层抽样(按比例抽样),若高中一、二、三年级学生人数分别为626、703、780,样本容量为84,则应从离二年级抽样的学生人数为多少?()