当前位置:首页 → 职业资格 → 银行招聘 → 银行招聘职业能力测验->一段路程分为上坡、平路、下坡三段,路程长之比依次是1:2:3
一段路程分为上坡、平路、下坡三段,路程长之比依次是1 : 2 : 3。小龙走各段路程所用时 间之比依次是4:5:6。已知他上坡时速度为每小时3千米,路程全长是50千米,小龙走 完全程用多少小时?( )
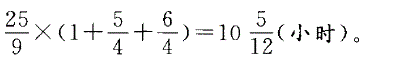
上坡路程为
上坡所用时间为:
小龙走完全程用的时间为:
故本题选A。
下列关于公司的表述,正确的是()
以下各项列举了我国常见气象灾害与其发生地区的对应关系,其中正确的一项是()
根据电视收视率调査,看体育节目的观众中青年人比中老年人要多。
由此可推断出()
—种海洋蜗牛产生的毒素含有多种蛋白,把其中的一种给老鼠注射后,会使有两星期大或更小的老鼠陷入睡眠状态,而使大一点的老鼠躲藏起来。当老鼠受到突然的严重威胁时,非常小的那些老鼠的反应是呆住,而较大的那些老鼠会逃跑。
以上陈述的事实最有力地支持了以下哪项假说?()










疾病控制中心对某校髙中三个年级的学生进行抽样做视力状况调查,抽样的方法为分层抽样(按比例抽样),若高中一、二、三年级学生人数分别为626、703、780,样本容量为84,则应从离二年级抽样的学生人数为多少?()