当前位置:首页 → 职业资格 → 银行招聘 → 银行招聘职业能力测验->一、房地产开发投资完成情况 2012年1~5月份,全国房地产
一、房地产开发投资完成情况
2012年1~5月份,全国房地产开发投资22213亿元,同比名义增长18.5%,增速比1~4月份回落0.2个百分点。其中,住宅投资15098亿元,增长13.6%,增速回落0.3个百分点,占房地产开发投资的比重为68.0%。如图3所示。

图3 2011年至2012年6月全国房地产开发投资增速
1~5月份,东部地区房地产开发投资13036亿元,同比增长16.0%,增速比1~4月份提高0.8个百分点;中部地区房地产开发投资4472亿元,增长22.3%,增速回落2.2个百分点;西部地区房地产开发投资4705亿元,增长22.5%,增速回落1.3个百分点。
1~5月份,房地产开发企业房屋施工面积451364万平方米,同比增长19.6%,增速比1~4月份回落1.6个百分点;其中,住宅施工面积339036万平方米,增长17.3%。房屋新开工面积72859万平方米,下降4.3%,降幅比1~4月份扩大0.1个百分点;其中,住宅新开工面积53882万平方米,下降8.2%。房屋竣工面积27306万平方米,增长26.3%,增速回落3.9个百分点;其中,住宅竣工面积21815万平方米,增长26.5%。
1~5月份,房地产开发企业土地购置面积13532万平方米,同比下降18.7%,降幅比1~4月份缩小0.6个百分点;土地成交价款2620亿元,下降10.0%,降幅缩小3.7个百分点。
二、商品房销售和销售情况
1~5月份,商品房销售面积28852万平方米,同比下降12.4%,降幅比1~4月份缩小1个百分点;其中,住宅销售面积下降13.5%,办公楼销售面积增长3.6%,商业营业用房销售面积下降1.4%。商品房销售额16932亿元,下降9.1%,降幅缩小2.7个百分点;其中,住宅销售额下降10.6%,办公楼销售额下降8.7%,商业营业用房销售额增长3.9%。如图4所示。

图4 全国商品房面积及销售额增速
1~5月份,东部地区商品房销售面积14098万平方米,同比下降14.1%,降幅比1~4月份缩小1.4个百分点;销售额10259亿元,下降12.1%,降幅缩小3.3个百分点。中部地区商品房销售面积6962万平方米,下降10.2%,降幅缩小1.8个百分点;销售额3072亿元,下降2.9%,降幅缩小3.2个百分点。西部地区商品房销售面积7792万平方米,下降11.1%,降幅扩大0.4个百分点;销售额3601亿元,下降5.0%,降幅缩小0.2个百分点。
5月末,商品房待售面积30740万平方米,比4月末增加432万平方米。其中,住宅待售面积增加278万平方米,办公楼增加6万平方米,商业营业用房增加43万平方米。如表1至表3所示。
表1 2012年1~5月份全国房地产开发和销售情况

表2 2012年1~5月份东中西部地区房地产开发投资情况

表3 2012年1~5月份东中西部地区房地产销售情况

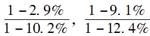
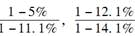
2012年1~5月以下哪类地区房地产销售单价同比上涨比例最高?( )
西部、东部、中部和全国地区总计的上涨比例结果分别为
,
。显然,第三个式子的分子最大且分母与其他数的相差不大,因此该比值最大,即中部地区房地产销售单价同比上涨比例最高。
下列关于公司的表述,正确的是()
以下各项列举了我国常见气象灾害与其发生地区的对应关系,其中正确的一项是()
根据电视收视率调査,看体育节目的观众中青年人比中老年人要多。
由此可推断出()
—种海洋蜗牛产生的毒素含有多种蛋白,把其中的一种给老鼠注射后,会使有两星期大或更小的老鼠陷入睡眠状态,而使大一点的老鼠躲藏起来。当老鼠受到突然的严重威胁时,非常小的那些老鼠的反应是呆住,而较大的那些老鼠会逃跑。
以上陈述的事实最有力地支持了以下哪项假说?()










疾病控制中心对某校髙中三个年级的学生进行抽样做视力状况调查,抽样的方法为分层抽样(按比例抽样),若高中一、二、三年级学生人数分别为626、703、780,样本容量为84,则应从离二年级抽样的学生人数为多少?()