范围经济
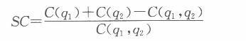
范围经济是指由厂商的范围而非规模带来的经济。当单个企业的联合产出超过各生产一种产品的两个企业所能达到的总产量时(两个企业分配到相等的投入要素),存在范围经济。规模经济与范围经济之间并无直接联系。与规模经济不同,范围经济通常是企业或生产单位从生产或提供某种系列产品(与大量生产同一产品不同)的单位成本中获得节省,而这种节约来自分销、研究与开发和服务中心(像财会、公关)等部门。 范围经济的程度可以通过研究企业的成本来确定。测度范围经济的公式为:

其中,C(q1)表示生产q1的产出所耗费的成本;C(q2)表示生产q2的产出所耗费的成本; C(q1q2)是生产两种产出所耗费的联合生产成本。在范围经济的情况下,联合生产成本低于各 自单独生产的成本之和,因此,SC>O。当范围不经济时,SC<O。总之,SC的值越大,范围经济的程度就越高。