证明一般行业短期边际成本曲线MC与平均总成本曲线ATC、平均可变成本曲线AVC相交,而且交点ATC和AVC的最低点。
(1)ATC、AVC和MC的关系。

方程表明,在短期内的总成本中有一部分要素是固定不变的,所以,边际成本随着产量变动,只取决于可变成本的变动量,而可变要素的报酬随其数量的增加会有先递增后递减的变化,因此MC曲线会先下降而后上升。

方程表明,ATC曲线是一条先下降后上升的U形曲线,但是由下降到上升的转折点要晚于MC曲线,于是MC曲线必然会与ATC曲线相交,当MCATC时,AC上升。故当低点与之相交,如图54所示。两条曲线相交于B点,B点便是ATC曲线的最低点。

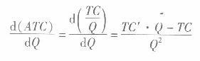
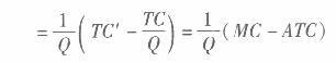
方程表明,4 VC曲线是一条先下降后上升的U形曲线:根据4VC与MC曲线的性质可知,MC曲线与AVC曲线相交于AVC曲线最低点。 (2)证明: 1)ATC与MC的关系。

故当MCATC时,ATC曲线上升; MC =ATC时,ATC曲线达到极小值点。

2)AVC与MC的关系。

故当MCAVC时,AVC曲线上升; MC=AVC时,AVC曲线达到极小值点。