某一次还本付息债券的票面额为5000元,票面利率10%,必要收益率为12%,期限为5年,如果按复利计息,复利贴现,其内在价值为()元。
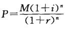
如果一次还本付息债券按复利计息、按复利贴现,其内在价值决定公式为:
。
式中:P——债券的内在价值;M——票面价值;i——每期利率;n——剩余时期数;r——必要收益率。代入本题数据,可得C选项正确。
下列关于公司的表述,正确的是()
以下各项列举了我国常见气象灾害与其发生地区的对应关系,其中正确的一项是()
根据电视收视率调査,看体育节目的观众中青年人比中老年人要多。
由此可推断出()
—种海洋蜗牛产生的毒素含有多种蛋白,把其中的一种给老鼠注射后,会使有两星期大或更小的老鼠陷入睡眠状态,而使大一点的老鼠躲藏起来。当老鼠受到突然的严重威胁时,非常小的那些老鼠的反应是呆住,而较大的那些老鼠会逃跑。
以上陈述的事实最有力地支持了以下哪项假说?()










疾病控制中心对某校髙中三个年级的学生进行抽样做视力状况调查,抽样的方法为分层抽样(按比例抽样),若高中一、二、三年级学生人数分别为626、703、780,样本容量为84,则应从离二年级抽样的学生人数为多少?()