当前位置:首页 → 职业资格 → 银行招聘 → 银行招聘职业能力测验->一列客车长250米,一列货车长350米,在平行的轨道上相向行
一列客车长250米,一列货车长350米,在平行的轨道上相向行驶,从两车头相遇到两车尾相离经过15秒,已知客车与货车的速度比是5 : 3。问两车的速度相差多少?( )
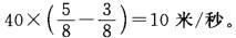
根据题意可知,两车的速度和为(250 + 350)÷15 = 40米/秒,且两车的速度比是5:3,则两车的速度差为
下列关于公司的表述,正确的是()
以下各项列举了我国常见气象灾害与其发生地区的对应关系,其中正确的一项是()
根据电视收视率调査,看体育节目的观众中青年人比中老年人要多。
由此可推断出()
—种海洋蜗牛产生的毒素含有多种蛋白,把其中的一种给老鼠注射后,会使有两星期大或更小的老鼠陷入睡眠状态,而使大一点的老鼠躲藏起来。当老鼠受到突然的严重威胁时,非常小的那些老鼠的反应是呆住,而较大的那些老鼠会逃跑。
以上陈述的事实最有力地支持了以下哪项假说?()










疾病控制中心对某校髙中三个年级的学生进行抽样做视力状况调查,抽样的方法为分层抽样(按比例抽样),若高中一、二、三年级学生人数分别为626、703、780,样本容量为84,则应从离二年级抽样的学生人数为多少?()