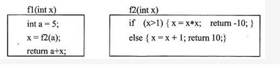
已知函数f132、f232的定义如下图所示。设调用函数f1时传递给形参x的值是1,若函数调用f2(a)采用引用调用(call by reference)的方式传递信息,则函数f1的返回值为( );若函数调用f2(a)以值调用(call by value)的方式传递信息,则函数f1的返回值为(请作答此空)。

本题考查程序语言基础知识。
函数f1被调用而运行时,其局部变量值的变化情况如下:在调用f2(a)之前,x的值为1,a的值为5。在以引用调用方式调用f2(a)时,形参x是实参a的引用,在函数f2中的x就是函数f1中a的别名(或者说此时x与a所对应的存储单元是同一个,只是角度不同而已),因此执行函数f2时,条件表达式x>1即等同于a>1,a的值是5所以该条件表达式成立,从而执行了"x=x*x",就将x所对应存储单元的内容改为了25,然后结束f2的执行并将所返回的-10赋值给f1中的x,因此在f1结束时返回的值为a+x=25-10=15。
在值调用方式下调用f2(a)时,是将实参a的值5传递给f2的形参x,a和x所对应的存储单元是不同的,此后执行f2时,由于x的值是5,所以条件表达式x>1即等同于5>1,是成立的,从而执行了"x=x*x",此时是将f2中的x修改为25,与f1中的a和x都无关,在结束f2的执行并将返回值-10赋值给f1中的x后,f1结束时进行的计算为a+x=5-10=-5。
一台主机的IP地址为202.123.25.36,掩码为255.255.254.0。如果该主机需要在该网络进行直接广播,那么它应该使用的目的地址为( )
在计算机系统的日常维护工作中,应当注意硬盘工作时不能__(2)__。另外,需要防范病毒,而__(3)__是不会被病毒感觉的。
有 4 个 IP 地址:201.117.15.254、201.117.17.01、201.117.24.5 和 201.117.29.3,如果子网掩码为 255.255.248.0,则这 4 个地址分别属于3个子网;其中属于同一个子网的是()
在异步通信中,每个字符包含1位起始位、7位数据位、1位奇偶位和1位终止位,每秒钟传送200个字符,采用4相位调制,则码元速率为()。
在 Windows 中,运行( )命令得到下图所示结果。以下关于该结果的叙述中,错误的是( )。
Pinging 59.74.111.8 with 32 bytes of data:
Reply from 59.74.111.8: bytes=32 time=3ms TTL=60
Reply from 59.74.111.8: bytes=32 time=5ms TTL=60
Reply from 59.74.111.8: bytes=32 time=3ms TTL=60
Reply from 59.74.111.8: bytes=32 time=5ms TTL=60
Ping statistics for 59.74.111.8:
Packets: Sent = 4, Received = 4, Lost = 0 (0% loss),
Approximate round trip times in milli-seconds:
Minimum = 3ms, Maximum = 5ms, Average = 4ms
在ISO OSF/RM参考模型中,七层协议中的__(1)__利用通信子网提供的服务实现两个用户进程之间端到端的通信。在这个模型中,如果A用户需要通过网络向B用户传送数据,则首先将数据送入应用层,在该层给它附加控制信息后送入表示层;在表示层对数据进行必要的变换并加头标后送入会话层;在会话层加头标送入传输层;在传输层将数据分解为__(本题)__后送至网络层;在网络层将数据封装成__(3)__后送至数据链路层;在数据链路层将数据加上头标和尾标封装成__(4)__后发送到物理层;在物理层数据以__(5)__形式发送到物理线路。B用户所在的系统接收到数据后,层层剥去控制信息,把原数据传送给B用户。
在OSI/RM中,解释应用数据语义的协议层是()。
在TCP/IP协议栈中,ARP协议的作用是(),RARP协议的作用是(请作答此空)。
在地址 http://www.dailynews.com.cn/channel/welcome.htm 中,www.dailynews.com.cn 表示( ),welcome.htm 表示(请作答此空)。
在电子表格软件Excel中,假设A1单元格的值为15,若在A2单元格输入“=AND(15<A1,A1<100)”,则A2单元格显示的值为 ()