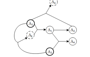
设有关系模式R( A1,A2,A3,A4,A5,A6 ),其中:函数依赖集F={A1 → A2,A1A3 → A4,A5A6 → A1,A2A5 → A6,A3A5 → A6}, 则()是关系模式R的一个主键
求候选码:关系模式码的确定,设关系模式R<U,F>:1、首先应该找出F中所有的决定因素,即找出出现在函数依赖规则中“→”左边的所有属性,组成集合U1;2、再从U1中找出一个属性或属性组K,运用Armstrong公理系统及推论,使得K→U,而K真子集K′→U不成立;这样就得到了关系模式R的一个候选码,找遍U1属性的所有组合,重复过程(2),最终得到关系模式R的所有候选码。
在本题中 U1={A1、A2、A3、A5、A6}
A3A5→A6,A5A6→A1 利用伪传递率:A3A5→A1,A1→A2利用传递率:A3A5→A2
A3A5→A1,A1A3→A4利用伪传递率:A3A5→A4
因此A3A5→{ A1,A2,A3,A4,A5,A6}
注:Armstrong公理系统及推论如下:
自反律:若Y X U,则X→Y为F所逻辑蕴含
增广律:若X→Y为F所逻辑蕴含,且Z U,则XZ→YZ为F所逻辑蕴含
传递律:若X→Y和Y→Z为F所逻辑蕴含,则X→Z为F所逻辑蕴含
合并规则:若X→Y,X→Z,则X→YZ为F所蕴涵
伪传递率:若X→Y,WY→Z,则XW→Z为F所蕴涵
分解规则:若X→Y,Z Y,则X→Z为F所蕴涵
由于函数依赖中存在传递依赖,所以不满足3NF的要求。
一台主机的IP地址为202.123.25.36,掩码为255.255.254.0。如果该主机需要在该网络进行直接广播,那么它应该使用的目的地址为( )
在计算机系统的日常维护工作中,应当注意硬盘工作时不能__(2)__。另外,需要防范病毒,而__(3)__是不会被病毒感觉的。
有 4 个 IP 地址:201.117.15.254、201.117.17.01、201.117.24.5 和 201.117.29.3,如果子网掩码为 255.255.248.0,则这 4 个地址分别属于3个子网;其中属于同一个子网的是()
在异步通信中,每个字符包含1位起始位、7位数据位、1位奇偶位和1位终止位,每秒钟传送200个字符,采用4相位调制,则码元速率为()。
在 Windows 中,运行( )命令得到下图所示结果。以下关于该结果的叙述中,错误的是( )。
Pinging 59.74.111.8 with 32 bytes of data:
Reply from 59.74.111.8: bytes=32 time=3ms TTL=60
Reply from 59.74.111.8: bytes=32 time=5ms TTL=60
Reply from 59.74.111.8: bytes=32 time=3ms TTL=60
Reply from 59.74.111.8: bytes=32 time=5ms TTL=60
Ping statistics for 59.74.111.8:
Packets: Sent = 4, Received = 4, Lost = 0 (0% loss),
Approximate round trip times in milli-seconds:
Minimum = 3ms, Maximum = 5ms, Average = 4ms
在ISO OSF/RM参考模型中,七层协议中的__(1)__利用通信子网提供的服务实现两个用户进程之间端到端的通信。在这个模型中,如果A用户需要通过网络向B用户传送数据,则首先将数据送入应用层,在该层给它附加控制信息后送入表示层;在表示层对数据进行必要的变换并加头标后送入会话层;在会话层加头标送入传输层;在传输层将数据分解为__(本题)__后送至网络层;在网络层将数据封装成__(3)__后送至数据链路层;在数据链路层将数据加上头标和尾标封装成__(4)__后发送到物理层;在物理层数据以__(5)__形式发送到物理线路。B用户所在的系统接收到数据后,层层剥去控制信息,把原数据传送给B用户。
在OSI/RM中,解释应用数据语义的协议层是()。
在TCP/IP协议栈中,ARP协议的作用是(),RARP协议的作用是(请作答此空)。
在地址 http://www.dailynews.com.cn/channel/welcome.htm 中,www.dailynews.com.cn 表示( ),welcome.htm 表示(请作答此空)。
在电子表格软件Excel中,假设A1单元格的值为15,若在A2单元格输入“=AND(15<A1,A1<100)”,则A2单元格显示的值为 ()