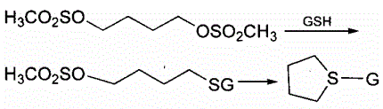
含有甲磺酸酯结构的抗肿瘤药物白消安,在体内的代谢反应是
本题考查药物第Ⅱ相药物结合代谢的规律。抗肿瘤药物白消安与谷胱甘肽的结合,由于甲磺酸酯是较好的离去基团,其先和巯基生成硫醚的结合物,然后生成的硫醚和分子中的另一个甲磺酸酯基团作用环合形成氢化噻吩。

酚羟基的甲基化反应主要对象是具儿茶酚胺结构的活性物质,如肾上腺素、去甲肾上腺素、多巴胺等。且甲基化反应具有区域选择性,仅仅发生在3位的酚羟基上。肾上腺素经甲基化后生成3-O-甲基肾上腺素。支气管扩张药沙丁醇胺,结构中有三个羟基,只有其中的酚羟基形成硫酸酯化结合物,而脂肪醇羟基硫酸酯化结合反应较低,且形成的硫酸酯易水解成为起始物。与氨基酸的结合反应是体内许多羧酸类药物和代谢物的主要结合反应;与葡萄糖醛酸的结合反应是药物代谢中最普遍的结合反应,生成的结合产物含有可离解的羧基(pK
值3.2)和多个羟基,无生物活性、易溶于水和排出体外。故本组题答案应选CAB。
某女,24岁。3天前不慎受凉,虽在家自服感冒清热颗粒,但未能见效,病情持续加重,遂来就诊。症见发热,体温38.9℃,口渴,咳嗽声重,痰多色黄,舌淡,苔白滑。西医诊断为急性支气管炎;中医诊断为咳嗽,治以辛凉宣泄,清肺平喘,清热解毒。处方:麻黄5g、石膏30g、苦杏仁6g、甘草9g、鱼腥草30g、金银花30g、连翘30g、板蓝根30g。3剂,每日1剂,水煎服。以此方治疗3日,患者恢复正常。
方中辛、甘,大寒,善清热泻火、除烦止渴,治肺热咳喘的药物是
某女,24岁。3天前不慎受凉,虽在家自服感冒清热颗粒,但未能见效,病情持续加重,遂来就诊。症见发热,体温38.9℃,口渴,咳嗽声重,痰多色黄,舌淡,苔白滑。西医诊断为急性支气管炎;中医诊断为咳嗽,治以辛凉宣泄,清肺平喘,清热解毒。处方:麻黄5g、石膏30g、苦杏仁6g、甘草9g、鱼腥草30g、金银花30g、连翘30g、板蓝根30g。3剂,每日1剂,水煎服。以此方治疗3日,患者恢复正常。
方中连翘既清解热毒,又疏散风热,还散结、利尿、消肿。关于其性能特点的叙述,错误的是
某女,24岁。3天前不慎受凉,虽在家自服感冒清热颗粒,但未能见效,病情持续加重,遂来就诊。症见发热,体温38.9℃,口渴,咳嗽声重,痰多色黄,舌淡,苔白滑。西医诊断为急性支气管炎;中医诊断为咳嗽,治以辛凉宣泄,清肺平喘,清热解毒。处方:麻黄5g、石膏30g、苦杏仁6g、甘草9g、鱼腥草30g、金银花30g、连翘30g、板蓝根30g。3剂,每日1剂,水煎服。以此方治疗3日,患者恢复正常。
方中板蓝根苦寒,其功效不包括
某男,52岁。大便脓血、里急后重、发热腹痛3天。医师诊断为大肠湿热所致的痢疾,处方为香连丸。
患者服药1周后,痢疾诸症皆除,但出现足膝红肿、筋骨疼痛。医师诊断其转为下焦湿热之痹病,治当清热利湿,处方选用四妙丸。该中成药的药物组成是
某男,52岁。大便脓血、里急后重、发热腹痛3天。医师诊断为大肠湿热所致的痢疾,处方为香连丸。
香连丸组方中木香为臣药,善行肠胃气滞。其除能行气止痛外,还能
某男,52岁。大便脓血、里急后重、发热腹痛3天。医师诊断为大肠湿热所致的痢疾,处方为香连丸。
医师处以香连丸,是因其功能为
某男,61岁。痰黄而黏,不易咳出,胸闷气促,久咳不止,声哑喉痛。医生诊断后,处方给予二母宁嗽丸。
关于该中成药的注意事项,叙述正确的是
某男,61岁。痰黄而黏,不易咳出,胸闷气促,久咳不止,声哑喉痛。医生诊断后,处方给予二母宁嗽丸。
二母宁嗽丸组方中的君药为
某男,61岁。痰黄而黏,不易咳出,胸闷气促,久咳不止,声哑喉痛。医生诊断后,处方给予二母宁嗽丸。
二母宁嗽丸主治
某男,61岁。痰黄而黏,不易咳出,胸闷气促,久咳不止,声哑喉痛。医生诊断后,处方给予二母宁嗽丸。
二母宁嗽丸既能清肺润燥,又能