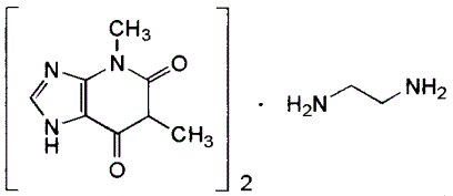
氨茶碱结构如图所示:

《中国药典》规定氨茶碱为白色至微黄色的颗粒或粉末,易结块;在空气中吸收二氧化碳,并分解成茶碱。根据氨茶碱的性状,其贮存条件应满足
本题考查的是药品质量标准中贮藏项下的要求,结合了具体药品的规定。贮藏项下的要求是为避免污染和降解而对药品贮存与保管的基本要求。避光系指用不透光的容器包装;密闭系指将容器密闭,以防止尘土及异物进入;密封系指将容器密封以防止风化、吸潮、挥发或异物进入;熔封或严封系指将容器熔封或用适宜的材料严封,以防止空气与水分的侵入并防止污染;阴凉处系指贮藏处温度不超过20℃;凉暗处系指贮藏处避光并温度不超过20℃;冷处系指贮藏处温度为2~10℃;常温系指温度为10~30℃。除另有规定外,贮藏项下未规定贮藏温度的一般系指常温。题干提示氨茶碱为白色至微黄色的颗粒或粉末,易结块;在空气中吸收二氧化碳,并分解成茶碱,故应遮光、密封保存。建议考生能够结合具体药品的性状,熟悉贮藏项下要求的含义。本题答案应选B。
某女,24岁。3天前不慎受凉,虽在家自服感冒清热颗粒,但未能见效,病情持续加重,遂来就诊。症见发热,体温38.9℃,口渴,咳嗽声重,痰多色黄,舌淡,苔白滑。西医诊断为急性支气管炎;中医诊断为咳嗽,治以辛凉宣泄,清肺平喘,清热解毒。处方:麻黄5g、石膏30g、苦杏仁6g、甘草9g、鱼腥草30g、金银花30g、连翘30g、板蓝根30g。3剂,每日1剂,水煎服。以此方治疗3日,患者恢复正常。
方中辛、甘,大寒,善清热泻火、除烦止渴,治肺热咳喘的药物是
某女,24岁。3天前不慎受凉,虽在家自服感冒清热颗粒,但未能见效,病情持续加重,遂来就诊。症见发热,体温38.9℃,口渴,咳嗽声重,痰多色黄,舌淡,苔白滑。西医诊断为急性支气管炎;中医诊断为咳嗽,治以辛凉宣泄,清肺平喘,清热解毒。处方:麻黄5g、石膏30g、苦杏仁6g、甘草9g、鱼腥草30g、金银花30g、连翘30g、板蓝根30g。3剂,每日1剂,水煎服。以此方治疗3日,患者恢复正常。
方中连翘既清解热毒,又疏散风热,还散结、利尿、消肿。关于其性能特点的叙述,错误的是
某女,24岁。3天前不慎受凉,虽在家自服感冒清热颗粒,但未能见效,病情持续加重,遂来就诊。症见发热,体温38.9℃,口渴,咳嗽声重,痰多色黄,舌淡,苔白滑。西医诊断为急性支气管炎;中医诊断为咳嗽,治以辛凉宣泄,清肺平喘,清热解毒。处方:麻黄5g、石膏30g、苦杏仁6g、甘草9g、鱼腥草30g、金银花30g、连翘30g、板蓝根30g。3剂,每日1剂,水煎服。以此方治疗3日,患者恢复正常。
方中板蓝根苦寒,其功效不包括
某男,52岁。大便脓血、里急后重、发热腹痛3天。医师诊断为大肠湿热所致的痢疾,处方为香连丸。
患者服药1周后,痢疾诸症皆除,但出现足膝红肿、筋骨疼痛。医师诊断其转为下焦湿热之痹病,治当清热利湿,处方选用四妙丸。该中成药的药物组成是
某男,52岁。大便脓血、里急后重、发热腹痛3天。医师诊断为大肠湿热所致的痢疾,处方为香连丸。
香连丸组方中木香为臣药,善行肠胃气滞。其除能行气止痛外,还能
某男,52岁。大便脓血、里急后重、发热腹痛3天。医师诊断为大肠湿热所致的痢疾,处方为香连丸。
医师处以香连丸,是因其功能为
某男,61岁。痰黄而黏,不易咳出,胸闷气促,久咳不止,声哑喉痛。医生诊断后,处方给予二母宁嗽丸。
关于该中成药的注意事项,叙述正确的是
某男,61岁。痰黄而黏,不易咳出,胸闷气促,久咳不止,声哑喉痛。医生诊断后,处方给予二母宁嗽丸。
二母宁嗽丸组方中的君药为
某男,61岁。痰黄而黏,不易咳出,胸闷气促,久咳不止,声哑喉痛。医生诊断后,处方给予二母宁嗽丸。
二母宁嗽丸主治
某男,61岁。痰黄而黏,不易咳出,胸闷气促,久咳不止,声哑喉痛。医生诊断后,处方给予二母宁嗽丸。
二母宁嗽丸既能清肺润燥,又能