当前位置:首页医卫类执业药师西药学专业一->(2017年真题)第四代头孢菌素是在第三代的基础上3位引入季

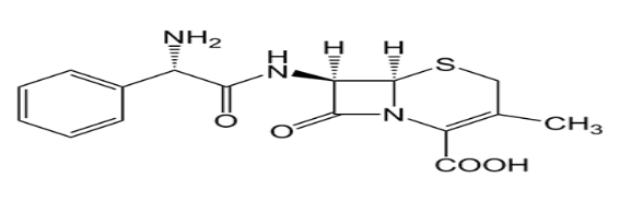
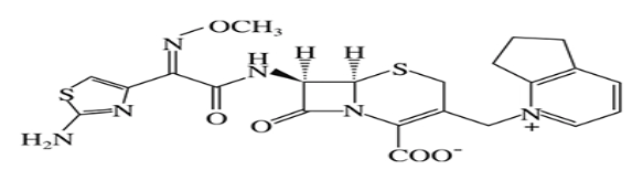
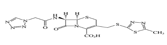
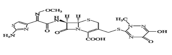
(2017年真题)第四代头孢菌素是在第三代的基础上3位引入季铵基团,能使头孢菌素类药物迅速穿透细菌的细胞壁,对大多数的革兰阳性菌和革兰阴性菌有高度活性。属第四代头孢菌素的药物是(  )

  • A.西药学专业一,章节练习,基础复习,西药学专业一真题章节
  • B.西药学专业一,章节练习,基础复习,西药学专业一真题章节
  • C.西药学专业一,章节练习,基础复习,西药学专业一真题章节
  • D.西药学专业一,章节练习,基础复习,西药学专业一真题章节
  • E.西药学专业一,章节练习,基础复习,西药学专业一真题章节
查看答案 纠错
答案: D
本题解析:

D为头孢匹罗,属于第四代头孢菌素。

更新时间:2021-11-06 08:58

你可能感兴趣的试题

单选题

某女,24岁。3天前不慎受凉,虽在家自服感冒清热颗粒,但未能见效,病情持续加重,遂来就诊。症见发热,体温38.9℃,口渴,咳嗽声重,痰多色黄,舌淡,苔白滑。西医诊断为急性支气管炎;中医诊断为咳嗽,治以辛凉宣泄,清肺平喘,清热解毒。处方:麻黄5g、石膏30g、苦杏仁6g、甘草9g、鱼腥草30g、金银花30g、连翘30g、板蓝根30g。3剂,每日1剂,水煎服。以此方治疗3日,患者恢复正常。

方中辛、甘,大寒,善清热泻火、除烦止渴,治肺热咳喘的药物是

  • A.鱼腥草
  • B.石膏
  • C.金银花
  • D.板蓝根
  • E.连翘
查看答案
单选题

某女,24岁。3天前不慎受凉,虽在家自服感冒清热颗粒,但未能见效,病情持续加重,遂来就诊。症见发热,体温38.9℃,口渴,咳嗽声重,痰多色黄,舌淡,苔白滑。西医诊断为急性支气管炎;中医诊断为咳嗽,治以辛凉宣泄,清肺平喘,清热解毒。处方:麻黄5g、石膏30g、苦杏仁6g、甘草9g、鱼腥草30g、金银花30g、连翘30g、板蓝根30g。3剂,每日1剂,水煎服。以此方治疗3日,患者恢复正常。

方中连翘既清解热毒,又疏散风热,还散结、利尿、消肿。关于其性能特点的叙述,错误的是

  • A.苦能泄散
  • B.微寒能清
  • C.甘寒清泄
  • D.以清为主
  • E.清中兼透
查看答案
单选题

某女,24岁。3天前不慎受凉,虽在家自服感冒清热颗粒,但未能见效,病情持续加重,遂来就诊。症见发热,体温38.9℃,口渴,咳嗽声重,痰多色黄,舌淡,苔白滑。西医诊断为急性支气管炎;中医诊断为咳嗽,治以辛凉宣泄,清肺平喘,清热解毒。处方:麻黄5g、石膏30g、苦杏仁6g、甘草9g、鱼腥草30g、金银花30g、连翘30g、板蓝根30g。3剂,每日1剂,水煎服。以此方治疗3日,患者恢复正常。

方中板蓝根苦寒,其功效不包括

  • A.清热
  • B.解毒
  • C.凉血
  • D.化痰
  • E.利咽
查看答案
单选题

某男,52岁。大便脓血、里急后重、发热腹痛3天。医师诊断为大肠湿热所致的痢疾,处方为香连丸。

患者服药1周后,痢疾诸症皆除,但出现足膝红肿、筋骨疼痛。医师诊断其转为下焦湿热之痹病,治当清热利湿,处方选用四妙丸。该中成药的药物组成是

  • A.黄芪、炒白术、防风
  • B.盐黄柏、苍术、薏苡仁、牛膝
  • C.红参、麦冬、五味子
  • D.熟地黄、当归、白芍、川芎
  • E.益智仁、乌药、山药
查看答案
单选题

某男,52岁。大便脓血、里急后重、发热腹痛3天。医师诊断为大肠湿热所致的痢疾,处方为香连丸。

香连丸组方中木香为臣药,善行肠胃气滞。其除能行气止痛外,还能

  • A.破气消积
  • B.温肾纳气
  • C.疏肝下气
  • D.燥湿化痰
  • E.健脾消食
查看答案
单选题

某男,52岁。大便脓血、里急后重、发热腹痛3天。医师诊断为大肠湿热所致的痢疾,处方为香连丸。

医师处以香连丸,是因其功能为

  • A.清热化湿,行气止痛
  • B.清热祛湿,行血化滞
  • C.清湿热,利小便
  • D.清热解毒,利湿退黄
  • E.分清化浊,温肾利湿
查看答案
单选题

某男,61岁。痰黄而黏,不易咳出,胸闷气促,久咳不止,声哑喉痛。医生诊断后,处方给予二母宁嗽丸。

关于该中成药的注意事项,叙述正确的是

  • A.风寒咳嗽者慎用
  • B.阴虚久咳者慎用
  • C.孕妇慎用
  • D.虚喘者禁用
  • E.年老体弱者慎用
查看答案
单选题

某男,61岁。痰黄而黏,不易咳出,胸闷气促,久咳不止,声哑喉痛。医生诊断后,处方给予二母宁嗽丸。

二母宁嗽丸组方中的君药为

  • A.知母、川贝母
  • B.石膏、炒栀子
  • C.炒瓜蒌子、蜜桑白皮
  • D.陈皮、麸炒枳实
  • E.炙甘草
查看答案
单选题

某男,61岁。痰黄而黏,不易咳出,胸闷气促,久咳不止,声哑喉痛。医生诊断后,处方给予二母宁嗽丸。

二母宁嗽丸主治

  • A.风寒水饮
  • B.痰湿内阻
  • C.风热咳嗽
  • D.燥热蕴肺
  • E.痰热咳嗽
查看答案
单选题

某男,61岁。痰黄而黏,不易咳出,胸闷气促,久咳不止,声哑喉痛。医生诊断后,处方给予二母宁嗽丸。

二母宁嗽丸既能清肺润燥,又能

  • A.宣肺散寒
  • B.化痰通便
  • C.宣肺止咳
  • D.降气平喘
  • E.化痰止咳
查看答案