用羟胺反应对青霉素及头孢类药物进行鉴别时,利用的结构是( )。
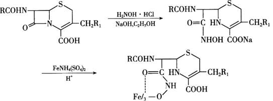
青霉素及头孢菌素在碱性中与羟胺作用,β-内酰胺环破裂生成异羟肟酸。在稀酸中与高铁离子呈色。反应式如下:

连续用药造成身体的适应状态,一旦中断用药,出现强烈的戒断综合征,如出汗、嗜睡、躯体疼痛等症状,称为
连续用药过程中,药物效应逐渐减弱称为
病原体或肿瘤细胞通过变异对药物的敏感性降低称为
对雌激素受体起选择性抑制的药物为
下列描述加替沙星的特点正确的是
属于靶向抗肿瘤药的是
有关生物被膜相关感染疾病的治疗描述正确的是
应排除在所有头孢菌素的适应证之外的是
选择性钙通道阻滞药根据化学结构分为二氢吡啶类(硝苯地平)、地尔硫类(地尔硫
)、苯烷胺类(维拉帕米)、粉防己碱。
属于紫杉醇剂量限制性毒性