当前位置:首页医卫类药学类药学(中级)->雷尼替丁是

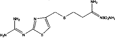
雷尼替丁是

  • A.药学(中级),章节练习,基础知识3
  • B.药学(中级),章节练习,基础知识3
  • C.药学(中级),章节练习,基础知识3
  • D.药学(中级),章节练习,基础知识3
  • E.药学(中级),章节练习,基础知识3
查看答案 纠错
答案: D
本题解析: 暂无解析
更新时间:2021-11-16 05:55

你可能感兴趣的试题

单选题

连续用药造成身体的适应状态,一旦中断用药,出现强烈的戒断综合征,如出汗、嗜睡、躯体疼痛等症状,称为

  • A.耐受性
  • B.抗药性
  • C.躯体依赖性
  • D.精神依赖性
  • E.其他依赖性
查看答案
单选题

连续用药过程中,药物效应逐渐减弱称为

  • A.耐受性
  • B.抗药性
  • C.躯体依赖性
  • D.精神依赖性
  • E.其他依赖性
查看答案
单选题

病原体或肿瘤细胞通过变异对药物的敏感性降低称为

  • A.耐受性
  • B.抗药性
  • C.躯体依赖性
  • D.精神依赖性
  • E.其他依赖性
查看答案
单选题

对雌激素受体起选择性抑制的药物为

  • A.门冬酰胺酶
  • B.长春碱
  • C.他莫昔芬
  • D.伊马替尼
  • E.多柔比星
查看答案
单选题

下列描述加替沙星的特点正确的是

  • A.有严重的光敏副反应
  • B.与其他喹诺酮类抗生素无交叉耐药性
  • C.儿童可以应用
  • D.易导致肾脏毒性
  • E.抗菌活性低于氧氟沙星
查看答案
单选题

属于靶向抗肿瘤药的是

  • A.埃罗替尼
  • B.吉西他滨
  • C.紫杉醇
  • D.多西他赛
  • E.伊立替康
查看答案
单选题

有关生物被膜相关感染疾病的治疗描述正确的是

  • A.合用大环内酯类药物与氟喹诺酮类则药效降低
  • B.用能抑制生物被膜形成的药物来治疗
  • C.大环内酯类药物对细菌生物被膜有较强的作用
  • D.选用低表面能生物医学材料做输液管线可降低生物被膜相关感染的发生率
  • E.用能通过生物被膜的杀菌剂来治疗
查看答案
单选题

应排除在所有头孢菌素的适应证之外的是

  • A.化脓性链球菌肺炎
  • B.金葡菌耐甲氧西林株(MRSA)所致的周围感染
  • C.铜绿假单胞菌引起的尿路感染
  • D.大肠埃希菌性胆囊炎
  • E.金葡菌产酶株所致软组织感染
查看答案
单选题

选择性钙通道阻滞药根据化学结构分为二氢吡啶类(硝苯地平)、地尔硫类(地尔硫药学(中级),深度自测卷,2022年药学(中级)《专业知识》深度自测卷2)、苯烷胺类(维拉帕米)、粉防己碱。

  • A.维拉帕米
  • B.普萘洛尔
  • C.肼屈嗪
  • D.硝苯地平
  • E.硝酸异山梨醇酯
查看答案
单选题

属于紫杉醇剂量限制性毒性

  • A.心脏损害
  • B.胃肠道反应
  • C.骨髓抑制
  • D.血管系统不良反应
  • E.皮肤不良反应
查看答案