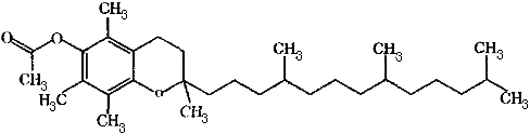
如下结构是哪个药物

题设所给结构为维生素E。
我国当前教育最薄弱的环节是( )
运用奖励和惩罚,是德育工作的( )
晏阳初三大教育方式中,学校式教育不包括( )
首先从理论上对班级授课制进行了论证的是( )
学校的出现意味着人类( )
现实主义与跨国主义对国家利益的阐释认为,在当代,对任何主权国家来说,其利益应包括()
“可持续发展”成为世界各国共同奋斗的目标。
最为经济且最为便利的直观教学手段是( )
我国是()进入社会主义初级阶段的
以下重要事件中直接导致雅尔塔体系瓦解的有()