当前位置:首页公务员军队文职人员招聘军队文职药学->哌替啶的化学结构是()

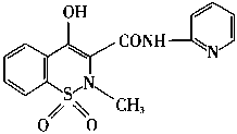
哌替啶的化学结构是( )

  • A.药学(士),章节练习,基础知识习题,药物化学
  • B.药学(士),章节练习,基础知识习题,药物化学
  • C.药学(士),章节练习,基础知识习题,药物化学
  • D.药学(士),章节练习,基础知识习题,药物化学
  • E.药学(士),章节练习,基础知识习题,药物化学
查看答案 纠错
答案: B
本题解析: 暂无解析
更新时间:2021-10-27 18:08

你可能感兴趣的试题

单选题

我国当前教育最薄弱的环节是(  )

  • A.普通教育
  • B.职业教育
  • C.高等教育
  • D.学前教育
查看答案
单选题

运用奖励和惩罚,是德育工作的(  )

  • A.比较法
  • B.榜样法
  • C.评价法
  • D.自我教育法
查看答案
单选题

晏阳初三大教育方式中,学校式教育不包括(  )

  • A.初级平民学校
  • B.高级平民学校
  • C.中级平民学校
  • D.生计巡回学校
查看答案
单选题

首先从理论上对班级授课制进行了论证的是(  )

  • A.夸美纽斯
  • B.斯宾塞
  • C.赫尔巴特
  • D.凯洛夫
查看答案
单选题

学校的出现意味着人类(  )

  • A.文字的产生
  • B.阶级的出现
  • C.生产力的发展
  • D.正规教育制度的产生
查看答案
多选题

现实主义与跨国主义对国家利益的阐释认为,在当代,对任何主权国家来说,其利益应包括()

  • A.自利的利益
  • B.共享的利益
  • C.人民的利益
  • D.特定的利益
查看答案
判断题

“可持续发展”成为世界各国共同奋斗的目标。

查看答案
单选题

最为经济且最为便利的直观教学手段是(  )

  • A.实物直观
  • B.模象直观
  • C.多媒体教学
  • D.语言直观
查看答案
单选题

我国是()进入社会主义初级阶段的

  • A.1949年
  • B.1956年
  • C.1978年
查看答案
单选题

以下重要事件中直接导致雅尔塔体系瓦解的有()

  • A.苏联全面改革
  • B.两德统一
  • C.欧洲联盟建立
  • D.美国提出“超越遏制”战略
查看答案