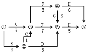
某工程双代号网络计划如下图所示,其关键线路是( )。

采用节点计算法。关键线路:①→③→④→⑤→⑥。
根据英国NEC《工程施工合同》,关于风险预警机制早期警告的说法,正确的是()。
根据FIDIC《施工合同条件》,为了不损害承包商的合法利益,关于指定分包商的说法,正确的有()。
根据《机电产品采购国际竞争性招标文件》,卖方应在设备包装箱相邻的四面不可擦除的油漆和明显的英语字样标出该包装箱的()。
建设工程材料设备采用非即时买卖合同的种类有()。
根据《标准设计施工总承包合同》,关于竣工后试验的说法,正确的有()。
根据《标准设计施工总承包合同》,关于承包人的说法,正确的有()。
根据《标准施工合同》,关于暂估价的说法,正确的有()。
根据《标准施工合同》,保险的正确处理方式有()。
根据《标准施工合同》,关于市场物价浮动对合同价格影响的表述,正确的有()。
工程设计合同约定发包人承担违约责任的情形有()。