当前位置:首页建筑工程注册电气工程师电气工程师公共基础->承受竖直向下载荷的等截面悬臂梁,结构外分别采用整块材料、两块

承受竖直向下载荷的等截面悬臂梁,结构外分别采用整块材料、两块材料并列、三块材料并列和两块材料叠合(未粘接)四种方案,对应横截面如图所示。在这四种横截面中,发生最大弯曲正应力的截面是(  )。

电气工程师公共基础,历年真题,2020年注册电气工程师《公共基础考试》真题

  • A.图(A)
  • B.图(B)
  • C.图(C)
  • D.图(D)
查看答案 纠错
答案: D
本题解析:

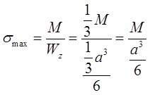
分别计算四个图的弯曲正应力。

对于图(A):

基础知识,历年真题,2020土木工程师(水利水电)公共基础真题

对于图(B):

基础知识,历年真题,2020土木工程师(水利水电)公共基础真题

对于图(C):

基础知识,历年真题,2020土木工程师(水利水电)公共基础真题

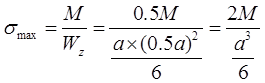
对于图(D):

基础知识,历年真题,2020土木工程师(水利水电)公共基础真题

故图(D)的弯曲正应力最大。

更新时间:2021-08-03 05:43

你可能感兴趣的试题

单选题

电气工程师基础专业知识,预测试卷,2021年注册电气工程师《专业基础》预测试卷5

电气工程师基础专业知识,预测试卷,2021年注册电气工程师《专业基础》预测试卷5

  • A.见图A
  • B.见图B
  • C.见图C
  • D.见图D
查看答案
单选题

电气工程师基础专业知识,预测试卷,2021年注册电气工程师《专业基础》预测试卷5

  • A.见图A
  • B.见图B
  • C.见图C
  • D.见图D
查看答案
单选题

电气工程师基础专业知识,预测试卷,2021年注册电气工程师《专业基础》预测试卷5

电气工程师基础专业知识,预测试卷,2021年注册电气工程师《专业基础》预测试卷5

  • A.见图A
  • B.见图B
  • C.见图C
  • D.见图D
查看答案
单选题

电气工程师基础专业知识,预测试卷,2021年注册电气工程师《专业基础》预测试卷5电气工程师基础专业知识,预测试卷,2021年注册电气工程师《专业基础》预测试卷5

电气工程师基础专业知识,预测试卷,2021年注册电气工程师《专业基础》预测试卷5

  • A.见图A
  • B.见图B
  • C.见图C
  • D.见图D
查看答案
单选题

电气工程师基础专业知识,预测试卷,2021年注册电气工程师《专业基础》预测试卷5

  • A.见图A
  • B.见图B
  • C.见图C
  • D.见图D
查看答案
单选题

电气工程师基础专业知识,预测试卷,2021年注册电气工程师《专业基础》预测试卷5

电气工程师基础专业知识,预测试卷,2021年注册电气工程师《专业基础》预测试卷5电气工程师基础专业知识,预测试卷,2021年注册电气工程师《专业基础》预测试卷5

  • A.见图A
  • B.见图B
  • C.见图C
  • D.见图D
查看答案
单选题

电气工程师基础专业知识,预测试卷,2021年注册电气工程师《专业基础》预测试卷5

  • A.见图A
  • B.见图B
  • C.见图C
  • D.见图D
查看答案
单选题

电气工程师基础专业知识,预测试卷,2021年注册电气工程师《专业基础》预测试卷5

  • A.见图A
  • B.见图B
  • C.见图C
  • D.见图D
查看答案
单选题

电气工程师基础专业知识,预测试卷,2021年注册电气工程师《专业基础》预测试卷5

  • A.见图A
  • B.见图B
  • C.见图C
  • D.见图D
查看答案
单选题

电气工程师基础专业知识,预测试卷,2021年注册电气工程师《专业基础》预测试卷5

  • A.见图A
  • B.见图B
  • C.见图C
  • D.见图D
查看答案