某理想气体分子在温度T1时的方均根速率等于温度T2时的最概然速率,则该二温度T2/T1等于( )。
根据麦克斯韦速率分布函数,理想气体分子有三种速率:
①最概然速率

②平均速率

③方均根速率

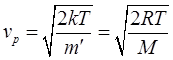
因此,在温度T1时的方根均速率为:

理想气体在温度T2时的最概然速率为:

二者相等,解得T2/T1=3/2。















