当前位置:首页建筑工程注册电气工程师电气工程师公共基础->若a,6是方程f(x)=0的两个相异的实根,f(x)在[a,

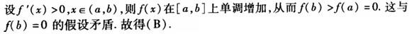
若a,6是方程f(x)=0的两个相异的实根,f(x)在[a,b]上连续,且在(a,b)内可导,则方程f´(x)=0在(a,b)内( ).

  • A.只有一个根
  • B.至少有一个根
  • C.没有根
  • D.以上结论都不对
查看答案 纠错
答案: B
本题解析:

基础知识,真题专项训练,工程科学基础

更新时间:2021-08-10 21:29

你可能感兴趣的试题

单选题

电气工程师基础专业知识,预测试卷,2021年注册电气工程师《专业基础》预测试卷5

电气工程师基础专业知识,预测试卷,2021年注册电气工程师《专业基础》预测试卷5

  • A.见图A
  • B.见图B
  • C.见图C
  • D.见图D
查看答案
单选题

电气工程师基础专业知识,预测试卷,2021年注册电气工程师《专业基础》预测试卷5

  • A.见图A
  • B.见图B
  • C.见图C
  • D.见图D
查看答案
单选题

电气工程师基础专业知识,预测试卷,2021年注册电气工程师《专业基础》预测试卷5

电气工程师基础专业知识,预测试卷,2021年注册电气工程师《专业基础》预测试卷5

  • A.见图A
  • B.见图B
  • C.见图C
  • D.见图D
查看答案
单选题

电气工程师基础专业知识,预测试卷,2021年注册电气工程师《专业基础》预测试卷5电气工程师基础专业知识,预测试卷,2021年注册电气工程师《专业基础》预测试卷5

电气工程师基础专业知识,预测试卷,2021年注册电气工程师《专业基础》预测试卷5

  • A.见图A
  • B.见图B
  • C.见图C
  • D.见图D
查看答案
单选题

电气工程师基础专业知识,预测试卷,2021年注册电气工程师《专业基础》预测试卷5

  • A.见图A
  • B.见图B
  • C.见图C
  • D.见图D
查看答案
单选题

电气工程师基础专业知识,预测试卷,2021年注册电气工程师《专业基础》预测试卷5

电气工程师基础专业知识,预测试卷,2021年注册电气工程师《专业基础》预测试卷5电气工程师基础专业知识,预测试卷,2021年注册电气工程师《专业基础》预测试卷5

  • A.见图A
  • B.见图B
  • C.见图C
  • D.见图D
查看答案
单选题

电气工程师基础专业知识,预测试卷,2021年注册电气工程师《专业基础》预测试卷5

  • A.见图A
  • B.见图B
  • C.见图C
  • D.见图D
查看答案
单选题

电气工程师基础专业知识,预测试卷,2021年注册电气工程师《专业基础》预测试卷5

  • A.见图A
  • B.见图B
  • C.见图C
  • D.见图D
查看答案
单选题

电气工程师基础专业知识,预测试卷,2021年注册电气工程师《专业基础》预测试卷5

  • A.见图A
  • B.见图B
  • C.见图C
  • D.见图D
查看答案
单选题

电气工程师基础专业知识,预测试卷,2021年注册电气工程师《专业基础》预测试卷5

  • A.见图A
  • B.见图B
  • C.见图C
  • D.见图D
查看答案