当前位置:首页 → 建筑工程 → 注册电气工程师 → 电气工程师基础专业知识->

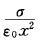
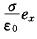
方法一由带电圆环的电场一带电圆板的电场一无限大带电平板的电场。方法二由于是无限大均匀带电平板,其一侧的有限范围内电场强度大小相等,方向相同,都垂直于平板平面。作一轴线垂直于平板的圆柱面,利用高斯定理列方程,解出圆柱端面处的电场强度即为所求。方法二比方法一简捷。















