当前位置:首页建筑工程注册电气工程师电气工程师公共基础->

电气工程师公共基础,章节练习,注册电气工程师(工程科学基础)高等数学

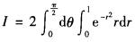
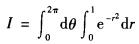
  • A.电气工程师公共基础,章节练习,注册电气工程师(工程科学基础)高等数学
  • B.电气工程师公共基础,章节练习,注册电气工程师(工程科学基础)高等数学
  • C.电气工程师公共基础,章节练习,注册电气工程师(工程科学基础)高等数学
  • D.电气工程师公共基础,章节练习,注册电气工程师(工程科学基础)高等数学
答案: D
本题解析:

电气工程师公共基础,章节练习,注册电气工程师(工程科学基础)高等数学

更新时间:2022-08-03 06:58
纠错

你可能感兴趣的试题

单选题

关于评标委员会组成的说法,正确的是(  )。

  • A.招标人代表2人,专家6人
  • B.招标人代表2人,专家5人
  • C.招标人代表2人,专家4人
  • D.招标人代表2人,专家3人
查看答案
单选题

在驻波中,两个相邻波节间各质点的振动( )。

  • A.振幅相同,相位相同
  • B.振幅不同,相位相同
  • C.振幅相同,相位不同
  • D.振幅不同,相位不同
查看答案
单选题

1mol的单原子分子理想气体从状态A变为状态B,气体未知,变化过程也未知,但A、B两态的压强、体积和温度都知道,则可求出( )。

  • A.气体所作的功
  • B.气体内能的变化
  • C.气体传给外界的热量
  • D.气体的质量
查看答案
单选题

同一种气体的定压摩尔热容大于定容摩尔热容,其原因是( )。

  • A.气体压强不同
  • B.气体温度变化不同
  • C.气体膨胀需要做功
  • D.气体质量不同
查看答案
单选题

声音从声源发出,在均匀无限大的空气中传播的过程中,( )。

  • A.声波的波速不断减小
  • B.声波的波长不断减小
  • C.声波的振幅不断减小
  • D.声波的频率不断减小
查看答案
单选题

已知某理想气体的压强为p,体积为V,温度为T,气体的摩尔质量为M,k为玻耳兹曼常量,R为摩尔气体常量,则该理想气体的密度为( )。

  • A.M/V
  • B.pM/(RT)
  • C.pM/(kT)
  • D.p/(RT)
查看答案
单选题

函数f(x,y)=xy(x-y)的极值点是( ).

  • A.(0,0)
  • B.(6,0)
  • C.(0,6)
  • D.(2,2)
查看答案
单选题

一定量某理想气体按“pV2=恒量”的规律膨胀,则理想气体在膨胀后的温度变化情况为( )。

  • A.将升高
  • B.将降低
  • C.不变
  • D.升高还是降低,不能确定
查看答案
单选题

有一个金属杆,其一端与沸水接触,另一端与冰接触,当沸水和冰的温度维持不变,而且杆内温度达到稳定分布后,这时金属杆所处的状态为( )。

  • A.平衡态
  • B.非平衡态
  • C.准平衡态
  • D.非稳恒态
查看答案
单选题

设一理想气体系统的定压摩尔热容为Cp,定容摩尔热容为CV,R表示摩尔气体常数,则( )。

  • A.CV-Cp=R
  • B.Cp-CV=R
  • C.Cp-CV=2R
  • D.Cp与CV的差值不定,取决于气体种类是单原子还是多原子
查看答案