当前位置:首页建筑工程注册土木工程师(水利水电)基础知识->

基础知识,章节练习,土木工程师(水利水电)工程科学基础,物理学

  • A.基础知识,章节练习,土木工程师(水利水电)工程科学基础,物理学
  • B.基础知识,章节练习,土木工程师(水利水电)工程科学基础,物理学
  • C.基础知识,章节练习,土木工程师(水利水电)工程科学基础,物理学
  • D.基础知识,章节练习,土木工程师(水利水电)工程科学基础,物理学
答案: D
本题解析:

基础知识,章节练习,土木工程师(水利水电)工程科学基础,物理学

更新时间:2022-07-15 07:04
纠错

你可能感兴趣的试题

单选题

专业基础知识,章节练习,土木工程师(水利水电)《专业基础知识》

  • A.均匀流
  • B.急变流
  • C.紊流
  • D.层流
查看答案
单选题

专业基础知识,章节练习,土木工程师(水利水电)《专业基础知识》

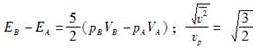
  • A.<img src='http://tp.mxqe.com/data/737/13570957_0_1.jpg' alt='专业基础知识,章节练习,土木工程师(水利水电)《专业基础知识》' title='专业基础知识,章节练习,土木工程师(水利水电)《专业基础知识》'>
  • B.<img src='http://tp.mxqe.com/data/737/13570957_0_2.jpg' alt='专业基础知识,章节练习,土木工程师(水利水电)《专业基础知识》' title='专业基础知识,章节练习,土木工程师(水利水电)《专业基础知识》'>
  • C.<img src='http://tp.mxqe.com/data/737/13570957_0_3.jpg' alt='专业基础知识,章节练习,土木工程师(水利水电)《专业基础知识》' title='专业基础知识,章节练习,土木工程师(水利水电)《专业基础知识》'>
  • D.<img src='http://tp.mxqe.com/data/737/13570957_0_4.jpg' alt='专业基础知识,章节练习,土木工程师(水利水电)《专业基础知识》' title='专业基础知识,章节练习,土木工程师(水利水电)《专业基础知识》'>
查看答案
单选题

专业基础知识,章节练习,土木工程师(水利水电)《专业基础知识》

  • A.图(a)
  • B.图(b)
  • C.图(c)
  • D.图(d)
查看答案
单选题

专业基础知识,章节练习,土木工程师(水利水电)《专业基础知识》

  • A.111.1
  • B.211.8
  • C.311.8
  • D.411.8
查看答案
单选题

专业基础知识,章节练习,土木工程师(水利水电)《专业基础知识》

  • A.20kPa;27.8kPa
  • B.40kPa;26kPa
  • C.40kPa;20kPa
  • D.160kPa;140kPa
查看答案
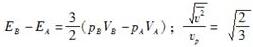
单选题

专业基础知识,章节练习,土木工程师(水利水电)《专业基础知识》

  • A.<img src='http://tp.mxqe.com/data/737/13570938_0_1.jpg' alt='专业基础知识,章节练习,土木工程师(水利水电)《专业基础知识》' title='专业基础知识,章节练习,土木工程师(水利水电)《专业基础知识》'>
  • B.<img src='http://tp.mxqe.com/data/737/13570938_0_2.jpg' alt='专业基础知识,章节练习,土木工程师(水利水电)《专业基础知识》' title='专业基础知识,章节练习,土木工程师(水利水电)《专业基础知识》'>
  • C.<img src='http://tp.mxqe.com/data/737/13570938_0_3.jpg' alt='专业基础知识,章节练习,土木工程师(水利水电)《专业基础知识》' title='专业基础知识,章节练习,土木工程师(水利水电)《专业基础知识》'>
  • D.无法确定
查看答案
单选题

专业基础知识,章节练习,土木工程师(水利水电)《专业基础知识》

  • A.1/2500
  • B.1/1900
  • C.1/1500
  • D.1/1300
查看答案
单选题

专业基础知识,章节练习,土木工程师(水利水电)《专业基础知识》

  • A.0
  • B.-3m
  • C.-2m
  • D.-1m
查看答案
单选题

专业基础知识,章节练习,土木工程师(水利水电)《专业基础知识》

  • A.10(左侧受拉)
  • B.10(右侧受拉)
  • C.12(左侧受拉)
  • D.12(右侧受拉)
查看答案
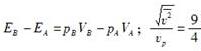
单选题

专业基础知识,章节练习,土木工程师(水利水电)《专业基础知识》

  • A.<img src='http://tp.mxqe.com/data/737/13570895_0_1.jpg' alt='专业基础知识,章节练习,土木工程师(水利水电)《专业基础知识》' title='专业基础知识,章节练习,土木工程师(水利水电)《专业基础知识》'>
  • B.<img src='http://tp.mxqe.com/data/737/13570895_0_2.jpg' alt='专业基础知识,章节练习,土木工程师(水利水电)《专业基础知识》' title='专业基础知识,章节练习,土木工程师(水利水电)《专业基础知识》'>
  • C.<img src='http://tp.mxqe.com/data/737/13570895_0_3.jpg' alt='专业基础知识,章节练习,土木工程师(水利水电)《专业基础知识》' title='专业基础知识,章节练习,土木工程师(水利水电)《专业基础知识》'>
  • D.<img src='http://tp.mxqe.com/data/737/13570895_0_4.jpg' alt='专业基础知识,章节练习,土木工程师(水利水电)《专业基础知识》' title='专业基础知识,章节练习,土木工程师(水利水电)《专业基础知识》'>
查看答案