当前位置:首页 → 建筑工程 → 注册土木工程师(水利水电) → 基础知识->

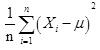
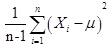
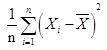
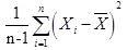
总体方差的矩估计与样本二阶中心矩相等,且μ为未知。









