当前位置:首页 → 职业资格 → 教师资格 → 中学数学学科知识与教学能力->下列数列收敛的是()。
下列数列收敛的是( )。
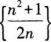
A项中,当n→∞时,{(-1)n}的极限不存在,该数列发散;B项中,


本题选B。
有“泥土诗人”之称的诗人是()。
将下列各项按所表示年龄大小顺序排列,正确的顺序应是( )。
①不惑②垂髫③花甲④加冠⑤而立⑥古稀⑦半百
钱穆在评论中国古代某制度时说,它“可以培植全国人民对政治之兴味……可以团结全国各地域于一个中央之统治”,这一制度是()。
明朝初年强化君主专制的措施是()。
1931年,一位给人们带来光明的科学家重病的消息牵动着世界人民的心,几十名记者为他守夜。每隔一个小时就对外发布一次消息:“灯”还亮着。这位科学家是( )。
在我国历史上,传统音乐与外族音乐、北方与南方音乐进行广泛交流的时期是()。
下列哪部歌剧是瓦格纳的作品()
乐器“缶”的制作材料属于( )。
隋唐至宋,在宫廷宴饮时娱乐欣赏的音乐称为()。
双簧管属于()。